第 1 頁 (共 1 頁)
駭客數學題庫光碟Ch11 P1,2
發表於 : 2013年 12月 7日, 23:56
由 hwm0219

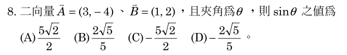
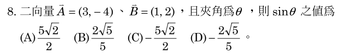
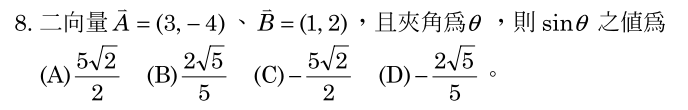
- 圖片1.png (19.51 KiB) 已瀏覽 18242 次
ANS:B

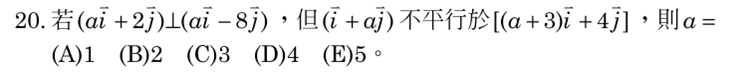
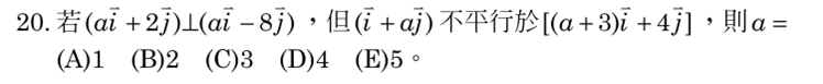
- 圖片2.png (9.4 KiB) 已瀏覽 18242 次
ANS:5/2

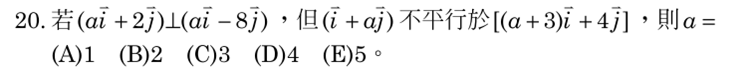
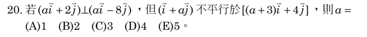
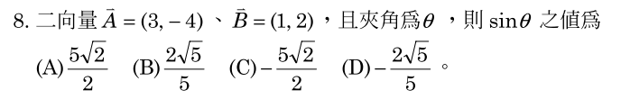
- 圖片3.png (20.78 KiB) 已瀏覽 18242 次
ANS:D
Re: 駭客數學題庫光碟Ch11 P1,2
發表於 : 2013年 12月 8日, 00:24
由 dream10
請參考附件
有錯跟我說一下
Re: 駭客數學題庫光碟Ch11 P1,2
發表於 : 2013年 12月 8日, 08:33
由 hwm0219
dream10老師
為何

- 圖片2.gif (969 Bytes) 已瀏覽 18232 次
不取負的值呢?
Re: 駭客數學題庫光碟Ch11 P1,2
發表於 : 2013年 12月 8日, 08:44
由 thepiano
因為兩向量的夾角,是在 0 度和 180 度之間,所以 sinθ 取正不取負
Re: 駭客數學題庫光碟Ch11 P1,2
發表於 : 2013年 12月 8日, 08:45
由 dream10
因為sin第一象限跟第二象限都是正的