第 1 頁 (共 1 頁)
駭客數學題庫光碟Ch2 P34,36,40
發表於 : 2014年 3月 1日, 23:28
由 hwm0219

- 圖片1.png (17.74 KiB) 已瀏覽 9416 次
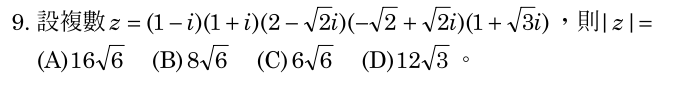
ANS:B

- 圖片2.png (18.33 KiB) 已瀏覽 9416 次
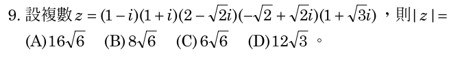
ANS:C

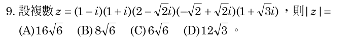
- 圖片3.png (23.92 KiB) 已瀏覽 9416 次
請問B和C有何不同?不是都屬於S裡的數嗎?
ANS:B
Re: 駭客數學題庫光碟Ch2 P34,36,40
發表於 : 2014年 3月 2日, 10:24
由 thepiano
第 1 題
|z| = √[1^2 + (-1)^2] * √(1^2 + 1^2) * √[2^2 + (-√2)^2] * √[(-√2)^2 + (√2)^2] * √[1^2 + (√3)^2] = 8√6
第 2 題
這種題目有正規做法,但考選擇題就湊吧
先令 c = 2
1/a + 1/b = 9/10 - 1/2 = 2/5
再令 b = 3
1/a = 2/5 - 1/3 = 1/15
a = 15
第 3 題
(B) 1 - 1/10^1000 是有限小數,且屬於 S
(C) 0.999.... = 1,不屬於 S
Re: 駭客數學題庫光碟Ch2 P34,36,40
發表於 : 2014年 3月 2日, 23:07
由 hwm0219
謝謝老師!
