第 1 頁 (共 1 頁)
對數[謝謝老師]
發表於 : 2018年 12月 17日, 18:29
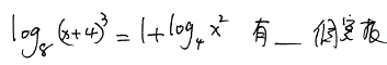
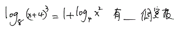
由 LATEX

- 777.GIF (2.7 KiB) 已瀏覽 19551 次
Re: 對數
發表於 : 2018年 12月 17日, 22:21
由 thepiano
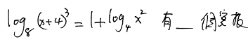
4 和 -4/3 這 2 個實根
Re: 對數
發表於 : 2018年 12月 17日, 22:35
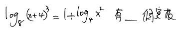
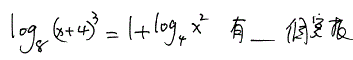
由 LATEX

- 777.jpg (130.44 KiB) 已瀏覽 19537 次
Re: 對數
發表於 : 2018年 12月 17日, 22:56
由 thepiano
第二式右邊
1 + log(±x) (以 2 為底)